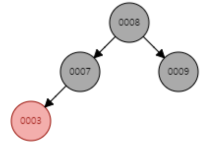
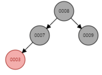
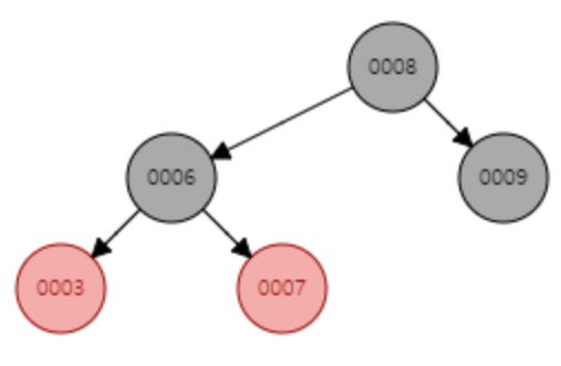
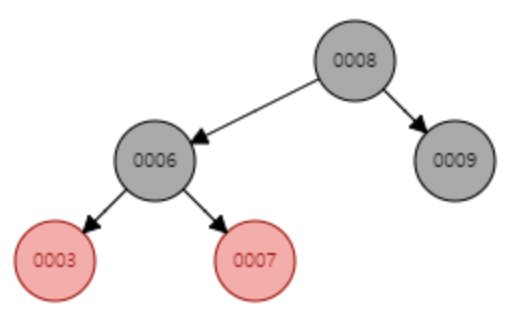
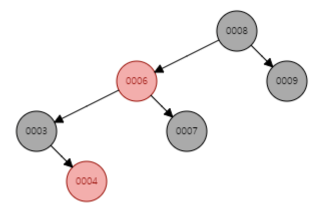
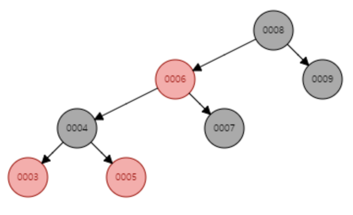
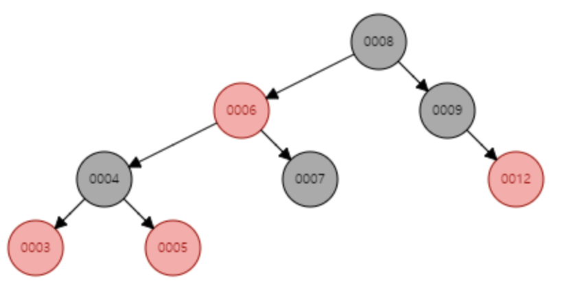
8, 7, 9, 3, 6, 4, 5, 12 데이터를 삽입
1. 7 삽입

2. 9 삽입

3. 3 삽입

4. 6 삽입

5. 4 삽입

6. 5 삽입

7. 12 삽입(결과)

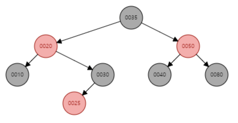
50 20 10 30 80 40 35 25 데이터를 삽입
1. 20 삽입

2. 10 삽입

3. 30 삽입

4. 80 삽입

5. 40 삽입

6. 35 삽입

7. 25 삽입(결과)

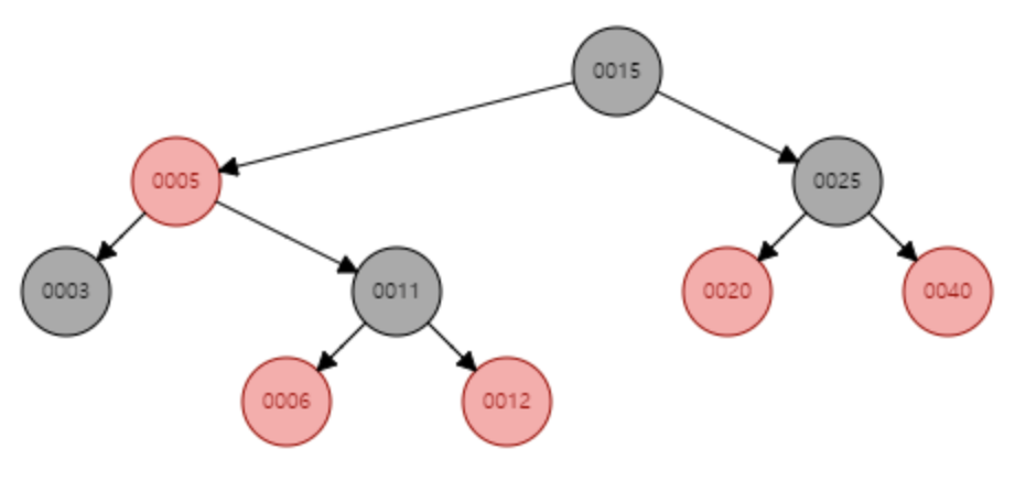
20 15 3 12 5 11 6 40 25 18 데이터를 삽입
1.15 삽입

2. 3 삽입

3. 12 삽입

4. 5 삽입

5. 11 삽입

6. 6 삽입

7. 40 삽입

8. 25 삽입

9. 18 삽입(결과)

8 18 5 15 17 25 40 80 데이터를 삽입
1. 18 삽입

2. 5 삽입

3. 15 삽입

4. 17 삽입

5. 25 삽입

6. 40 삽입

7. 80 삽입(결과)

'CS > 자료구조' 카테고리의 다른 글
| 알고리즘 - 보이어무어 (1) | 2024.06.16 |
|---|---|
| KMP 알고리즘 예제 (0) | 2024.06.15 |
| AVL 트리 연습용 예제 (0) | 2024.04.04 |
| 자료구조 - 해쉬테이블 (0) | 2024.02.03 |
| 자료구조 - AVL 트리 (1) | 2024.02.01 |