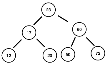
23 50 72 17 12 20 60 데이터 삽입
결과

8 9 10 2 1 5 3 6 4 7 11 12 데이터 삽입
결과

20 12 10 7 3 1 데이터 삽입
결과

'CS > 자료구조' 카테고리의 다른 글
| KMP 알고리즘 예제 (0) | 2024.06.15 |
|---|---|
| 레드블랙트리 연습예제 (0) | 2024.04.09 |
| 자료구조 - 해쉬테이블 (0) | 2024.02.03 |
| 자료구조 - AVL 트리 (1) | 2024.02.01 |
| 자료구조 - 이진탐색트리 (1) | 2024.01.31 |