
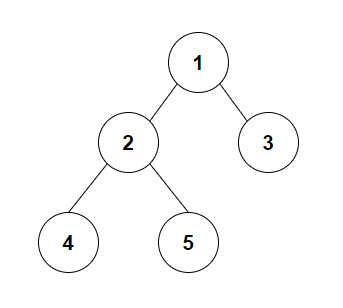
1. Root
2. Left
3. Right
결과 : 1 2 4 5 3

1. Left
2. Root
3. Right
결과 : 4 2 5 1 3

1. Left
2. Right
3. Root
결과 : 4 5 2 3 1
'CS > 자료구조' 카테고리의 다른 글
| 자료구조 - 버블 정렬 (1) | 2024.01.22 |
|---|---|
| 자료구조 - 우선순위 큐 (1) | 2024.01.22 |
| 자료구조 - 트리 (1) | 2024.01.18 |
| 자료구조 - 큐(배열 기반) (0) | 2024.01.17 |
| 자료구조 - 전위/중위/후위 표기법 (0) | 2024.01.16 |