
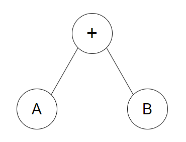
전위 표기법(PreFix) : +AB
중위 표기법(InFix) : A+B
후위 표기법(PostFix) : AB+
다음과 같이 Infix 로 표기된 수식을 Prefix 로 변환하시오.
X = A / B * ( C + D ) + E

항상 식에서 우선순위의 계산 먼저 시작한다. (괄호 > 곱셈,나눗셈 > 덧셈,뺄셈 순으로)
다음과 같이 Infix 로 표기된 수식을 Postfix 로 변환하시오.
X = A / B * ( C + D ) + E

다음과 같이 Postfix 로 표기된 수식을 Infix 로 변환하시오.
A B C - / D E F + * +

후위 표기법을 중위 표기법으로 변환할 때는 (피연산자 피연산자 연산자) 인지 확인 후 정리해야한다.
다음과 같이 Prefix 로 표기된 수식을 Infix 로 변환하시오.
+ / A - B C * D + E F

전위 표기법을 중위 표기법으로 변환할 때는 (연산자 피연산자 피연산자) 인지 확인 후 정리해야한다.
'CS > 자료구조' 카테고리의 다른 글
| 자료구조 - 트리 (1) | 2024.01.18 |
|---|---|
| 자료구조 - 큐(배열 기반) (0) | 2024.01.17 |
| 자료구조 - 스택(연결 리스트 기반) (1) | 2024.01.16 |
| 자료구조 - 스택(배열 기반) (2) | 2024.01.15 |
| 자료구조 - 원형 연결리스트 (0) | 2024.01.15 |